Farine De Caroube Wikipedia

Caroubier Wikipedia

Caroubier Wikipedia

Xestt Dkivgm

Xestt Dkivgm

Pdf Fiche Presentation Arbre Ceratonia Siliqua Anfel Anfel Academia Edu

Pdf Fiche Presentation Arbre Ceratonia Siliqua Anfel Anfel Academia Edu

Caroubier Wikiwand

Caroubier Wikiwand

Le Caroubier Un Arbre Merveilleux

Le Caroubier Un Arbre Merveilleux

Gomme Adragante Wikipedia

Gomme Adragante Wikipedia

Gomme Adragante Wikipedia

Fichier Whole Wheat Grain Flour Being Scooped Jpg Wikipedia

Fichier Whole Wheat Grain Flour Being Scooped Jpg Wikipedia

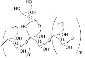
Galactomannane Wikipedia

Galactomannane Wikipedia

Le Caroubier L Arbre A Petites Cornes

Le Caroubier L Arbre A Petites Cornes

Caroube Ingredient Tout Savoir Sur Le Caroube 750g

Caroube Ingredient Tout Savoir Sur Le Caroube 750g

Caroubier Definition Et Recettes De Caroubier Supertoinette

Caroubier Definition Et Recettes De Caroubier Supertoinette

Parkia Biglobosa Wikipedia

Parkia Biglobosa Wikipedia

Dulce De Batata Wikipedia

Dulce De Batata Wikipedia

Course Fnh200 Assignments 2020 Chapmans Ice Cream Black Cherry Vs No Sugar Alternative Ubc Wiki

Course Fnh200 Assignments 2020 Chapmans Ice Cream Black Cherry Vs No Sugar Alternative Ubc Wiki

Caroube Proprietes Et Utilisation De La Caroube

Caroube Proprietes Et Utilisation De La Caroube

5 Villes Portugaises Que Vous Pouvez Visiter En Un Week End Cet Automne 2020 Idealista

5 Villes Portugaises Que Vous Pouvez Visiter En Un Week End Cet Automne 2020 Idealista

Francois Quesnay 978 613 0 64601 1 6130646011 9786130646011

Francois Quesnay 978 613 0 64601 1 6130646011 9786130646011

Chouquettes Sans Gluten Et Lactose Recette Dessert Sans Gluten Recettes De Cuisine Sans Gluten

Chouquettes Sans Gluten Et Lactose Recette Dessert Sans Gluten Recettes De Cuisine Sans Gluten

La Brioche Tressee Des Olonnes La Fournee Doree 700 G E

La Brioche Tressee Des Olonnes La Fournee Doree 700 G E

5 Reasons To Love Mesquite Powder Mesquite Powder Low Glycemic Sweeteners Coffee Benefits

5 Reasons To Love Mesquite Powder Mesquite Powder Low Glycemic Sweeteners Coffee Benefits

Sans Gluten C Est Facile Au Vert Avec Lili

Sans Gluten C Est Facile Au Vert Avec Lili

Le Ver Molitor 5 Infos Que Vous Ignorez Peut Etre Sur Cet Insecte Insectes Vers De Farine Insectes Comestibles

Le Ver Molitor 5 Infos Que Vous Ignorez Peut Etre Sur Cet Insecte Insectes Vers De Farine Insectes Comestibles

Burmese Cuisine Health Cooking Pizza Nutrition Facts Healthy Cooking

Burmese Cuisine Health Cooking Pizza Nutrition Facts Healthy Cooking

Wild Silk Mulberry Leaf Silk Silkworm

Wild Silk Mulberry Leaf Silk Silkworm

Https Encrypted Tbn0 Gstatic Com Images Q Tbn And9gcqujh0rxtdbpxpz Wiwmh8urbjmadomi9o86ngbow4ioi83lswz Usqp Cau

Https Encrypted Tbn0 Gstatic Com Images Q Tbn And9gcqujh0rxtdbpxpz Wiwmh8urbjmadomi9o86ngbow4ioi83lswz Usqp Cau

Obesite Wikipedia

Obesite Wikipedia

Selon Le Site Wikipedia Org Le Jesuite Est Une Patisserie Francaise Celebre Il S Agit D Un Petit T Recettes De Cuisine Cuisine Et Boissons Recette Gourmande

Selon Le Site Wikipedia Org Le Jesuite Est Une Patisserie Francaise Celebre Il S Agit D Un Petit T Recettes De Cuisine Cuisine Et Boissons Recette Gourmande

Cooking Measurement Conversion Chart Cooking Weights And Measures Wikipedia Us Cooking Measurements Cooking Conversion Chart Cooking Measurement Conversions

Cooking Measurement Conversion Chart Cooking Weights And Measures Wikipedia Us Cooking Measurements Cooking Conversion Chart Cooking Measurement Conversions

Epingle Sur Sans Gluten

Epingle Sur Sans Gluten

Nutritional Yeast Nutritional Yeast Recipes Nutritional Yeast Brewers Yeast

Nutritional Yeast Nutritional Yeast Recipes Nutritional Yeast Brewers Yeast

Nestle P Tit Onctueux 6 Pots De 60g

Nestle P Tit Onctueux 6 Pots De 60g

Ben Jerry S Glace En Pot Vegan Coconutterly Caramel D 465 Ml 416 G

Ben Jerry S Glace En Pot Vegan Coconutterly Caramel D 465 Ml 416 G

Mochiko File Mochiko Jpg Wikipedia The Free Encyclopedia Mochiko Rice Flour Rice Cake Recipes

Mochiko File Mochiko Jpg Wikipedia The Free Encyclopedia Mochiko Rice Flour Rice Cake Recipes

Moshis Aux Graines De Sesame Noir Wei Ming

Moshis Aux Graines De Sesame Noir Wei Ming

Viennois Cafe Nestle 8 X 100 G

Viennois Cafe Nestle 8 X 100 G

Holy Roman Empire Wikipedia The Free Encyclopedia Holy Roman Empire Roman Empire Westphalia

Holy Roman Empire Wikipedia The Free Encyclopedia Holy Roman Empire Roman Empire Westphalia

Timon Pumbaa Tv Series Wikipedia Timon And Pumbaa Timon Lion King Timon

Timon Pumbaa Tv Series Wikipedia Timon And Pumbaa Timon Lion King Timon

Amazon Com Betty Crocker Devil S Food Super Moist Cake Mix 432g 15oz Imported From Canada Grocery Gourmet Food

Amazon Com Betty Crocker Devil S Food Super Moist Cake Mix 432g 15oz Imported From Canada Grocery Gourmet Food

Grom Creme Glacee Pot Vanille Unilever 460 Ml 325 G

Grom Creme Glacee Pot Vanille Unilever 460 Ml 325 G

Boursin Cuisine Tomates Et Herbes 240 G

Boursin Cuisine Tomates Et Herbes 240 G

Samia Yala Source Wikipedia L Aftir Oukessoul Thimegzerth1 Ou Kataa Wa Armi1 A Alger Est Un Plat Traditionne Plat Kabyle Recettes De Cuisine Cuisine Kabyle

Samia Yala Source Wikipedia L Aftir Oukessoul Thimegzerth1 Ou Kataa Wa Armi1 A Alger Est Un Plat Traditionne Plat Kabyle Recettes De Cuisine Cuisine Kabyle

Pistacchio Siviero Maria

Pistacchio Siviero Maria

Douceur Cacao La Vie Claire

Douceur Cacao La Vie Claire

Mini Fromage Frais Aux Fruits Les Doodingues 6 X 50 G

Mini Fromage Frais Aux Fruits Les Doodingues 6 X 50 G

Lasagne Bolognese 2bio 400 G

Lasagne Bolognese 2bio 400 G

Couscous Royal Garbit 1 250 Kg

Couscous Royal Garbit 1 250 Kg

Pin On One Piece

Pin On One Piece

Carte D Or Collection Glace Buche Facon Rocher Chocolat Noir Noisette Biscuit 9 Parts 900 Ml 565 G

Carte D Or Collection Glace Buche Facon Rocher Chocolat Noir Noisette Biscuit 9 Parts 900 Ml 565 G

Extrem Cone Sund Choco X6 Nestle

Extrem Cone Sund Choco X6 Nestle

Https Encrypted Tbn0 Gstatic Com Images Q Tbn And9gcqk8t3yvji3ggobfyghw Qvnjhlupkpjd5f8cnvycgz0l9ch2rk Usqp Cau

Https Encrypted Tbn0 Gstatic Com Images Q Tbn And9gcqk8t3yvji3ggobfyghw Qvnjhlupkpjd5f8cnvycgz0l9ch2rk Usqp Cau

Creme Glacee Yaourt Nature Malo

Creme Glacee Yaourt Nature Malo

Melasse Wikipedia

Melasse Wikipedia

Alpro Creamy Almond 750 Ml

Alpro Creamy Almond 750 Ml

Glace Vanille Bourbon La Laitiere 510g

Glace Vanille Bourbon La Laitiere 510g

So Good Milkana 400 G

So Good Milkana 400 G

Break The Bonds Jake Rito Just Add Magic Wiki Fandom Just Add Magic Magic Recipe Recipe Book Diy

Break The Bonds Jake Rito Just Add Magic Wiki Fandom Just Add Magic Magic Recipe Recipe Book Diy

Diagrama De Ishikawa Wikipedia La Enciclopedia Libre Diagrama De Ishikawa 1492 Descubrimiento De America Libro Electronico

Diagrama De Ishikawa Wikipedia La Enciclopedia Libre Diagrama De Ishikawa 1492 Descubrimiento De America Libro Electronico

File Fleur De Sel2 Jpg Wikipedia The Free Encyclopedia Vegetable Recipes Vanilla Bean Brewing Tea

File Fleur De Sel2 Jpg Wikipedia The Free Encyclopedia Vegetable Recipes Vanilla Bean Brewing Tea

Philadelphia Kraft Foods 340 G

Philadelphia Kraft Foods 340 G

Sorbetto Citron Grom

Sorbetto Citron Grom

Pin By Tatyana Mehundrew On Kirby Kirby Character Kirby Kirby Art

Pin By Tatyana Mehundrew On Kirby Kirby Character Kirby Kirby Art

Barre Glacee Au Fudge Biologique Traditions 14 88 Ml

Barre Glacee Au Fudge Biologique Traditions 14 88 Ml

Almost Cookie Mary Jane S Migros 150 Ml

Almost Cookie Mary Jane S Migros 150 Ml

Helix Aspersa Aspersa Wikipedia Helix Aspersa Aspersa Le Petit Gris Est Une Sous Espece D Escargots Gasteropodes Terr Escargot Petit Gris Animaux Escargot

Helix Aspersa Aspersa Wikipedia Helix Aspersa Aspersa Le Petit Gris Est Une Sous Espece D Escargots Gasteropodes Terr Escargot Petit Gris Animaux Escargot

Soft Mochi Gelato Ice Cream Madagascan Vanilla 6 X 192g Little Moons

Soft Mochi Gelato Ice Cream Madagascan Vanilla 6 X 192g Little Moons

Low Fat Fruit Yogurt Delhaize 1 5kg

Low Fat Fruit Yogurt Delhaize 1 5kg

Creme Glacee Carte D Or 650 G E 1300 Ml

Creme Glacee Carte D Or 650 G E 1300 Ml

Ferrero Rocher Glace Noisette Et Chocolat Noir X4 200 G

Ferrero Rocher Glace Noisette Et Chocolat Noir X4 200 G

Pains Au Chocolat Carrefour 720 G

Pains Au Chocolat Carrefour 720 G

Pin On Biology Bytes

Pin On Biology Bytes

Caroubier Ceratonia Siliqua Proprietes Bienfaits De Cette Plante En Phytotherapie Doctissimo

Caroubier Ceratonia Siliqua Proprietes Bienfaits De Cette Plante En Phytotherapie Doctissimo

Bio Drink Mandorla Viamia

Bio Drink Mandorla Viamia

Buza Wikipedia Illustration Herbes Illustrations De Plantes Illustration Botanique Vintage

Buza Wikipedia Illustration Herbes Illustrations De Plantes Illustration Botanique Vintage

Dent Anatomie Humaine Dentaire Email Dentaire Hygiene Bucco Dentaire

Dent Anatomie Humaine Dentaire Email Dentaire Hygiene Bucco Dentaire

1

1

Tiramisu Aux Speculoos Carrefour 200 G 2 X 100 G

Tiramisu Aux Speculoos Carrefour 200 G 2 X 100 G

Candia Vegetal Amande Pralinee 50 Cl

Candia Vegetal Amande Pralinee 50 Cl

Cremette Frischkasezubereitung Mit Sahne Hochland

Cremette Frischkasezubereitung Mit Sahne Hochland

Ode A L Automne Wikipedia Automne John Keats Poesie Anglaise

Ode A L Automne Wikipedia Automne John Keats Poesie Anglaise

Injera Canjeero Vegetarian Recipe Recipe Food Ethiopian Food Ethiopian Cuisine

Injera Canjeero Vegetarian Recipe Recipe Food Ethiopian Food Ethiopian Cuisine

Brioche Tressee Maitre Jean Pierre 600 G

Brioche Tressee Maitre Jean Pierre 600 G

Cookie Dough Wich Ben Jerry S 3 X 80 Ml 195 G

Cookie Dough Wich Ben Jerry S 3 X 80 Ml 195 G

Petits Cones Vanille Chocolat U X8 Soit 344 G

Petits Cones Vanille Chocolat U X8 Soit 344 G

French Flanders Wikipedia Old World Maps Language Map Flanders

French Flanders Wikipedia Old World Maps Language Map Flanders

Eskimopie Fine Creme Vanille

Eskimopie Fine Creme Vanille

Carte D Or Glace Rhum Raisins 1200 Ml 675 G

Carte D Or Glace Rhum Raisins 1200 Ml 675 G

Marron Fruit Wikipedia Marrons Grilles Marron Fruit Chataigne

Marron Fruit Wikipedia Marrons Grilles Marron Fruit Chataigne

Mousse A La Creme De Marron Maronsui S Nestle La Laitiere 8 Pots De 68 8g

Mousse A La Creme De Marron Maronsui S Nestle La Laitiere 8 Pots De 68 8g

Knorr Marmite De Bouillon Poule 8 Capsules 224 G

Knorr Marmite De Bouillon Poule 8 Capsules 224 G

Farine De Sarrasin Sarrasin Plante Planche Botanique

Farine De Sarrasin Sarrasin Plante Planche Botanique

Mary Jane S American Style Ice Cream Almost Cookie Migros 450 Ml

Mary Jane S American Style Ice Cream Almost Cookie Migros 450 Ml

Pudding Wikipedia

Pudding Wikipedia

Creme Glacee Classique A Saveur De Vanille Irresistible

Creme Glacee Classique A Saveur De Vanille Irresistible

Fichier Road Signs Tunisia Jpg Wikipedia Tunisie Sousse Tunisie Sousse

Fichier Road Signs Tunisia Jpg Wikipedia Tunisie Sousse Tunisie Sousse

Mini Lactes Banane Pomme Bledina

Mini Lactes Banane Pomme Bledina

Chapman S Sorbet Arc En Ciel 2 L

Chapman S Sorbet Arc En Ciel 2 L

Pin By Patache Ouzi On Citation De Vie Wisdom Quotes Life Wisdom Quotes Words Quotes

Pin By Patache Ouzi On Citation De Vie Wisdom Quotes Life Wisdom Quotes Words Quotes

Extreme Mini Citron Fruits Rouges Nestle 312g

Extreme Mini Citron Fruits Rouges Nestle 312g

Deu Saarbruecken Coa Saarbrucken Wikipedia Coat Of Arms Heraldry City Logo

Deu Saarbruecken Coa Saarbrucken Wikipedia Coat Of Arms Heraldry City Logo

Marmite De Bouillon Legumes Offre Saisonniere Knorr 224 G

Marmite De Bouillon Legumes Offre Saisonniere Knorr 224 G

Source : pinterest.com